弊社でのファインケミカルとは、医薬品、農薬、電子材料、化粧品等の原料の販売、及び中間体の受委託製造を扱っております。当社が中心となり、信頼出来るメーカーをご紹介し、秘密保持の締結からコスト面の交渉、ラボ試作から商業生産までの全てにわたり、責任を持って製造の仲介をさせて頂きます。
半導体材料に加え幅広く使用される基幹原料。 特徴としては、98%(GC)を超える高い転化率が得られ、エステル化がほぼ完全に可能。


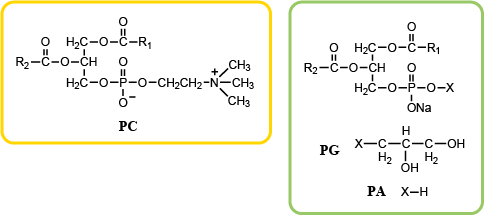
リポソーム医薬品・肺表面活性剤医薬品、DDS医薬品原料として使用される。
DPPC、DMPC、DSPC、DSPG、コレステロール。

2次電池の電解質、電気二重層キャパシタ、色素増感太陽電池、高分子固体電解質への応用。

1-Ethyl-3-methylimidazolium salts
X-=Br、PF6、BF4
化粧品原料、医薬中間体、食品一般に添加物として使用。

インドール誘導品、キラルビルディングブロック。
ビフェニル誘導品。
インドファインケミカルメーカーでの医薬中間体製造販売